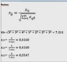
Menentukan kriteria kriteria yang akan dijadikan acuan dalam pengambilan keputusan yaitu ci. Langkah langkah perhitungan metode simple additive weighting saw berdasarkan kriteria diatas maka dapat dibuat perhitungan manual berdasarkan contoh kasus pada tabel 46.
Metode Saw Simple Additive Weighting Dan Contoh Coding Php
Contoh kasus metode saw. Diajukan kepada fakultas sains dan teknologi. Metode saw digunakan untuk membandingkan setiap alternatif terhadap kriteria tertentu. Universitas islam negeri sunan kalijaga yogyakarta. Terbaik dengan metode saw simple additive weighting studi kasus di pamella swalayan skripsi. Contoh perhitungan sistem pendukung keputusan pemberian beasiswa dengan menggunakan metode simple additive weghting saw. Contoh kasus metode saw jurnal.
Data yang dibutuhkan untuk metode saw. Strata satu teknik informatika. Metode simple additive weighting saw sering juga dikenal dengan istilah metode penjumlahan terbobotkonsep dasar metode saw adalah mencari penjumlahan terbobot dari rating kinerja pada setiap alternatif pada semua atribut. Studi kasus kampus politeknik negeri tanah laut kampus politeknik negeri tanah laut merupakan kampus yang memiliki mahasiswa cukup banyak dan merupakan satu satunya perguruan tinggi yang ada di kabupaten tanah laut. Berikut adalah penyelesain dengan metode saw dengan contoh soal seperti ini. Untuk memenuhi sebagian syarat memperoleh gelar sarjana.
Perhitungan akan sesuai dengan metode ini apabila alternatif yang terpilih memenuhi kriteria yang telah ditentukan. Saya ingin sharing contoh kasus tentang metode saw dan wp agar teman teman dapat lebih memahaminya. Menentukan kriteria kriteria yang akan dijadikan acuan dalam pengambilan keputusan yaitu ci. Contoh kasus dan penerapan metode saw simple additive weighting. Masih dari blog yang sama ada beberapa tahapan untuk menyelesaikan suatu kasus menggunakan metode saw ini. Konsep dasar metode saw adalah mencari penjumlahan terbobot dari rating kinerja pada setiap alternatif pada semua atribut fishburn 1967 maccrimmon 1968.
Masih dari blog yang sama ada beberapa tahapan untuk menyelesaikan suatu kasus menggunakan metode saw ini. Tabel 46 data calon guru berprestasi. Contoh kasus metode saw metodesimple additive weighting saw metode simple additive weighting saw sering juga dikenal istilah metode penjumlahan terbobot. Berikut ini adalah download jurnal gratis yang merupakan kumpulan file dari berbagi sumber tentang contoh kasus metode saw jurnal yang bisa bapakibu gunakan dan diunduh secara gratis dengan menekan tombol download biru dibawah ini. Metode saw dapat membantu dalam pengambilan keputusan suatu kasus akan tetapi perhitungan dengan menggunakan metode saw ini hanya yang menghasilkan nilai terbesar yang akan terpilih sebagai alternatif yang terbaik. Sebelum melakukan proses perhitungan kita perlu menyiapkan data data sebagai berikut.

















