Artikel contoh perhitungan menggunakan metode ahp ini sengaja saya buat agar teman teman yang ingin belajar metode ini bisa memahami dengan mudah karena contoh simpel yang saya berikan. Ahp yaitu teori pengukuran dengan perbandingan berpasangan dan didasarkan pada keputusan para ahli untuk menyusun skala prioritas saaty 2008.
Spk Menentukan Prioritas Kelayakan Pemberian Kredit Metode
Contoh perhitungan metode anp. Contoh perhitungan spk metode ahp dengan mengambil studi kasus pemilihan lokasi warnet terbaik. Contoh studi kasus metode anp yang mudah terbaru. Metode ini digunakan dalam bentuk penyelesaian dengan pertimbangan atas penyesuaian kompleksitas masalah secara penguraian sintesis disertai adanya skala prioritas yang menghasilkan pengaruh prioritas terbesar. Model pendukung keputusan ini akan menguraikan masalah multi faktor atau multi kriteria yang kompleks menjadi suatu hirarki menurut saaty 1993 hirarki didefinisikan sebagai suatu reprensentasi dari sebuah permasalahan yang komplek dalam suatu struktur multi level. Contoh aplikasi spk metode anp beserta contoh perhitungan manualnya aplikasi ini mudah untuk diubah dan disesuaikan dengan kasus yang ada pada aplikasi ini mengambil contoh kasus untuk seleksi pemain sepak bola dengan metode anp analytic network process anp dikembangkan oleh prof saaty sebagai pengembangan dari analytic hierarchy process ahp. Metode analytical hierarchy process ahp adalah adalah suatu model pendukung keputuan yang dikembangkan oleh thomas lsaaty.
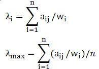
Dalam perhitungan dengan metode ahp akan banyak melakukan perbandingan yaitu perbandingan antar kriteria dan perbandingan antar alternatif setiap kriteria. Academiaedu is a platform for academics to share research papers. Namun ada juga yang menggunakan metode ini dengan menggabugkan dengan metode profile matching seperti projek kemarin. Kebanyakan contoh yang ada di internet menggunakan perhitungan pada contoh kasus yang kompleks kadang sebagian dari teman teman sulit untuk memahaminya. Rachmadi sistem pendukung keputusan pemilihan bidang studi di perguruan tinggi menggunakan metode analytic network process anp brawijaya 2013. Penggunaanya masih belum banyak di pakai pada penelitian.
Metode mcdm yang umum dipakai adalah analytic hierarchy process ahp dan analytic network process anp yang digagas oleh thomas l. Dipostingan selanjutnya saya akan menjelaskan tentang contoh perhitungan metode anp menggunakan studi kasus. Analytic network process anp merupakan teori matematis yang mampu menganalisa pengaruh dengan pendekatan asumsi asumsi untuk menyelasaikan bentuk permasalahan. Handy kejuruan teknik komputer dan jaringan yang terfavorit dengan menggunakan multi criteria decision making j. Mungkin itu sedikit dari penjelasan metode anp. Tyroni m and a.
Metode anp analytic network process merupakan metode yang tergolong baru. Metode pendukung keputusan analytic network process reviewed by nur on december 01 2016 rating. Dalam menyelesaikan masalah multicriteria metode ahp digunakan untuk memperoleh prioritas berdasarkan.















