Luas dari suatu bidang dapat dipandang dengan sustu integral lipat dua jika fxy1 sehingga integral lipat dua menjadi. Unsubscribe from malik abdul aziz.
Buku Matematika Fisika 1 Terlaris
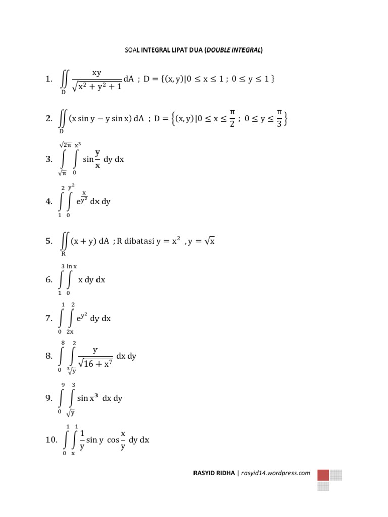
Contoh soal integral lipat dua. Dalam hal ini yang akan dibahas adalah asal mula integral lipat dua. Kalkulus ii integral lipat dua malik abdul aziz. Integral berulang kadang juga dikenal sebagai integral ganda atau integral lipat adalah materi kalkulus lanjut yang dipelajari secara mendalam untuk menganalisis masalah luas dan volume baik pada bidang dua dimensi maupun tiga dimensi. Integral lipat dua pada daerah persegi panjang dan daerah sebarang. Hitung luas daerah yang dibatasi oleh x y 2 dan 2y x y. Soal dan pembahasan integral lipat duadoc.
Dan setiap garis garis yang sejajar dengan sumbu sumbu koordinat paling banyak hanya mempunyai dua titik potong dengan kurva. Sekian ulasan tentang integral lipat dua semoga sekarang anda telah memahami materi tentang integral lipat dua ini. Contoh yang akan kita bahas adalah penerapan integral lipat dua dalam mencari sebuah volume v dan juga titik pusat massa. Contoh soal dan pembahasan integral lipat 2. Daerah di dalam bidang datar disebut daerah tertutup sederhana jika daerah. Dibatasi oleh kurva tertutup.
Pembahasan soal integral un sma 2018 duration. Untuk memberikan pemahaman kepada pembaca tentang materi tersebut berikut disajikan beberapa soal terkait terkhusus untuk integral lipat dua yaitu integral. Pada kesempatan kali ini akan dibahas mengenai integral lipat dua. Rosi atmaja 85478 views. Namun sebelum beranjak ke contoh soal ada baiknya kita sedikit ingat kembali tentang apa itu integal lipat dua serta cara menggunakannya. Berikut ini adalah contoh soal beserta pembahasan nya.














