Contoh soal limit fungsi aljabar. Limit x a.
Kumpulan Soal Limit Fungsi Trigonometri Idschool
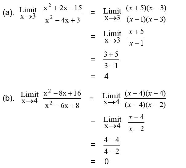
Contoh soal limit fungsi aljabar. Pengertian limit dalam ilmu matematika. Untuk soal limit fungsi trigonometri dipisahkan dalam postingan lain karena soalnya akan terlalu banyak bila ditumpuk menjadi satu. Soal juga dapat diunduh dengan mengklik tautan berikut. Jika k konstanta fungsi f dan fungsi g adalah fungsi fungsi memiliki nilai limit yang mendekati bilangan c maka. Lim x termasuk juga limit x 0 mulai dari yang mudah dulu tipe soal soal limit yang bisa diselesaikan dengan substitusi langsung seperti contoh berikut. Dalam mengerjakan soal limit fungsi aljabar usahakan agar penyebut tidak sama dengan nol.
Yuk simak lengkapnya di bawah ini. Contoh soal dan pembahasan tentang limit. Dalam bahasa matematika keadaan ini adalah umum disebut limit. Pada artikel ini quipper blog akan mengulas tentang strategi penyelesaian limit fungsi aljabar aturan lhopital dan modifikasi turunan solusi super atau super untuk menyelesaikan soal limit fungsi aljabar dan contoh soal. Salah satu caranya adalah dengan memfaktorkan pembilang dan membaginya dengan penyebut sehingga hasil yang didapatkan tepat. Newer post older post home.
Pembahasan soal limit fungsi aljabar soal limit dengan pemfaktoran contoh limit dengan substitusi contoh limit dengan membagi pangkat tertinggi soal limit untuk tak terhingga. Penyajian rumussimbol matematika di sini menggunakan latex sehingga lebih smooth dari segi tampilan. Limit fungsi aljabar limit bisa diartikan sebagai menuju batas sesuatu yang dekat namun tidak bisa dicapai. Pembahasan limit bentuk. Dalam pengoperasian limit fungsi aljabar terdapat beberapa hukum atau teorema limit yang perlu diperhatikan. Limit biasa dipakai dalam kalkulus dan cabang lainnya dari analisis matematika untuk mencari turunan dan kontinyuan.
Berikut akan kami jelaska tentang pengertian beserta rumus metode sifat teorema dan contoh soalnya untuk lebih jelasnya sima pembahasan dibawah ini. 1 tentukan hasil dari. Contoh soal limit fungsi aljabar menggunakan analisis grafik. Limit didalam konsep ilmu matematik biasa digunakan untuk menjelaskan suatu sifat dari suatu fungsi saat agumen telah mendekati pada suatu titik tak terhingga atau sifat dari suatu barisan saat indeks mendekati tak hingga. Berikut ini adalah contoh soal dan pembahasan super lengkap mengenai limit khusus fungsi aljabar. Contoh soal dan pembahasan tentang limit trigonometri.
Soal pembahasan matematika sd smp sma.

















