Vektor matematika pengertian materi rumus contoh soal by azzahra rahmah posted on december 9 2019 rumuscoid setelah sebelumnya kita membahas tentang rumus persamaan nilai mutlak kali ini kita akan membahas materi tentang rumus vektor matematika kita akan jabarkan secara detail dan lengkap dari pengertian jenis jenis operasi dan contoh soal beserta pembahasannya. Vektor veca 2 3.
Diketahui Panjang Vektor A Dan B Berturut Turut 4 Dan 6
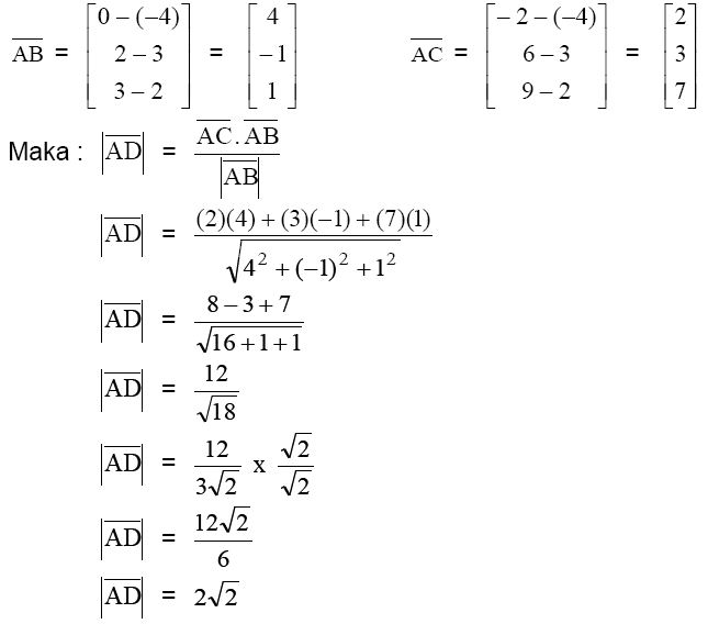
Contoh soal panjang vektor. Contoh soal vektor dan pembahasan contoh soal 1. Contoh soal vektor dan pembahasannya beserta jawabannya by azzahra rahmah posted on january 7 2020 rumuscoid pada kesempatan kali ini kita akan membahas mengenai contoh soal tentang vektor matematika untuk sd smp sma dan pada kesempatan sebelumnya kita juga telah membahas tentang soal olimpiade ipa sd tahun 2019 nah untuk saat ini materi lengkap tentang contoh soal mengenai vektor 2 dan. Diketahui titik a246 titik b662 dan titik cpq 6. Contoh soal panjang vektor dan vektor satuan 1. Jika titik a b dan c segaris maka tentukan nilai pq. Pengertian rumus operasi vektor contoh soal dalam materi kali ini kita akan membahas tentang rumus matematika vektor pengertian besaran vektor pengertian besaran skalar perkalian skalar dengan vektor sifat sifat skalar dengan vektor penjumlahan dan pengurangan vektor notasi vektor dan panjang vektor.
Vektor digambarkan sebagai panah dengan yang menunjukan arah vektor dan panjang garisnya disebut besar vektor. Silahkan juga baca materi lain yang berkaitan dengan vektor posisi dan vektor nol. Tentukan panjang vektor masing masing berikut ini a. Demikian pembahasan materi panjang vektor dan vektor satuan dan contoh contohnya. Rumus vektor matematika sebelum membahas terlebih dalam tentang rumus vektor satuan matematika dan rumus panjang vektor matematika ada baiknya jika kalian mengetahui terlebih dahulu apa itu vektor matematika yang sering muncul di soal soal ujian sekolah dan soal soal ujian nasional mata pelajaran matematika tingkat sekolah menengah atas sma.

















