Pembahasan limit bentuk. Fungsi aljabar limit turunan contoh soal contents hide 1 fungsi aljabar limit turunan contoh soal 11 limit fungsi aljabar 111 1 metode substitusi 112 2 metode pemfaktoran 113 3 metode perkalian dengan menggunakan akar sekawan 114 1 membagi dengan menggunakan pangkat tertinggi 115 2 mengalikan dengan bentuk sekawan 12 turunan fungsi aljabar 121.
Soal Tentang Limit Fungsi Aljabar Bentuk Tak Tentu Brainly
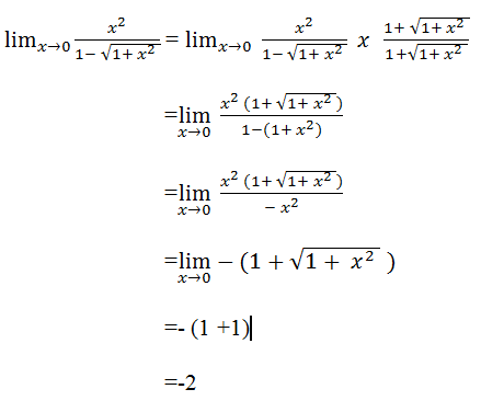
Contoh soal limit aljabar. Soal juga dapat diunduh dengan mengklik tautan berikut. Pembahasan soal limit fungsi aljabar soal limit dengan pemfaktoran contoh limit dengan substitusi contoh limit dengan membagi pangkat tertinggi soal limit untuk tak terhingga. Limit x a. Berikut ini adalah contoh soal dan pembahasan super lengkap mengenai limit khusus fungsi aljabar. Penyajian rumussimbol matematika di sini menggunakan latex sehingga lebih smooth dari segi tampilan. Rumus limit matematika fungsi tak hingga contoh soal by azzahra rahmah posted on december 17 2019 rumuscoid setelah sebelumnya kita membahas tentang rumus persamaan nilai mutlak kali ini kita akan membahas materi tentang rumus limit matematika kita akan jabarkan secara detail dan lengkap dari pengertian limit teorema limit rumus beserta contoh soal dan pembahasannya.
Berikut akan kami jelaska tentang pengertian beserta rumus metode sifat teorema dan contoh soalnya untuk lebih jelasnya sima pembahasan dibawah ini. Strategi substitusi langsung strategi membagi dengan pangkat tertinggi strategi mengalikan dengan bentuk sekawan dan strategi faktorisasi. Lim x termasuk juga limit x 0 mulai dari yang mudah dulu tipe soal soal limit yang bisa diselesaikan dengan substitusi langsung seperti contoh berikut. Contoh soal dan pembahasan tentang limit. Limit fungsi aljabar limit bisa diartikan sebagai menuju batas sesuatu yang dekat namun tidak bisa dicapai. 1 tentukan hasil dari.
Aljabar bangun ruang sisi lengkung bilangan bulat fungsi garis himpunan kelas 7 kelas 8 kelas 9 kesebangunan lurus pecahan pembahasan perbandingan persamaan segiempat segitiga smp soal. Posted in matematika tagged 50 contoh soal limit contoh soal limit akar contoh soal limit fungsi aljabar dan pembahasannya doc contoh soal limit fungsi pemfaktoran contoh soal limit kalkulus contoh soal limit substitusi contoh soal limit tak hingga contoh soal limit trigonometri navigasi halaman. Cara menghitung nilai x tak berhingga ada beberapa cara untuk menentukan jawaban dari limit fungsi aljabar di mana nilai x tak berhingga yaitu. Contoh soal dan pembahasan tentang limit trigonometri. Dalam bahasa matematika keadaan ini adalah umum disebut limit. Soal pembahasan matematika sd smp sma.
Untuk soal limit fungsi trigonometri dipisahkan dalam postingan lain karena soalnya akan terlalu banyak bila ditumpuk menjadi satu.
















